Che cos’è il ranking? ed il Pagerank?
Che cose il PageRank?
Spiegare che cos’è correntamente il PageRank non è semplice. Si può incorrere ad errori di definizione se non si considera correttamente la storia del web di quest’ultimo decennio.

Il PageRank è un algoritmo brevettato da google che assegna un valore d’importanza ad un documento in un insieme di documenti. Il brevetto del PageRank spiega nell’abstract così come segue:
A method assigns importance ranks to nodes in a linked database, such as any database of documents containing citations, the world wide web or any other hypermedia database. The rank assigned to a document is calculated from the ranks of documents citing it. In addition, the rank of a document is calculated from a constant representing the probability that a browser through the database will randomly jump to the document. The method is particularly useful in enhancing the performance of search engine results for hypermedia databases, such as the world wide web, whose documents have a large variation in quality.
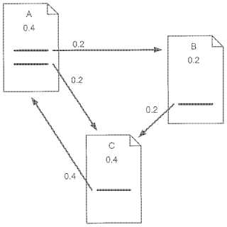
In un insieme di documenti vengono valutati sostanzialmente in base ai collegamenti esistenti tra loro, e in base al numero di collegamenti si può risalire alla probabilità che un documento venga visitato e in base a questi fattori si può pensare di dare un indice o rank al singolo link del documento. L’insieme degli indici danno infine elementi per calcolare il PageRank.
Il PageRank di una pagina web è il voto di chi indicizza le pagine (motori di ricerca) dato dalla probabilità di accedere globalmente a quella pagina. Un algoritmo come risultante di un’insieme di fattori che regolano l’analisi delle pagine in funzione delle citazioni che esse hanno globalmente.
Capite che essendo un parametro dato ad una pagina su una base di documenti correlati molto ampia, promettere che il PageRank possa salire in tempi minimi (giorni) non è assolutamente realistico.
I motori di ricerca come google, yahoo o bing ( adesso la partnership tra questi ultimi due è molto forte per contrastare lo strapotere di Google) si predispongono ad analizzare con i loro webbot (software che automaticamente analizzano il World Wide Web su precise parole chiave e su aree di dominio specifico) numerosi insiemi di parole (keywords) più o meno ricercate secondo tempistiche e modalità che si possono scoprire alle volte solo per via empirica od esperienziale sul web.
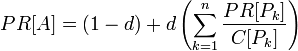
Sapere che il PageRank può essere calcolato con la seguente formula (o sue varianti date dall’evoluzione del WEB) ci fa comprendere che il PageRank non può essere promesso in vendita da nessun SEO e o Web Expert che vuole fare il suo lavoro con integrità professionale e onestà intellettuale.

La formula precedente si può spiegare come segue: Pr[A] è il valore del page rank di della pagina A che è uguale in questo caso dalla sommatoria delle pagine che contengono un link verso la tua pagina pesato dal page rank (il peso lo da sempre google) delle pagine che linkano il tuo sito (la loro importanza) ( se le pagine che hanno link al tuo sito web hanno tanti link fanno perdere importanza al link che collega la tua pagina web)
- PR[A] è il valore di PageRank della pagina A che vogliamo calcolare.
- n è il numero di pagine che contengono almeno un link verso A. Pk rappresenta ognuna di tali pagine.
- PR[Pk] sono i valori di PageRank di ogni pagina Pk.
- C[Pk] sono il numero complessivo di link contenuti nella pagina che offre il link.
- d (damping factor) è un fattore deciso da Google e che nella documentazione originale assume valore 0,85. Può essere aggiustato da Google per decidere la percentuale di PageRank che deve transitare da una pagina all’altra e il valore di PageRank minimo attribuito ad ogni pagina in archivio.
Riassumendo in una sola frase dalla formula si nota quindi che all’aumentare del numero di link complessivi dei siti che puntano ad A il PageRank aumenta.
La formula precedente fa ben capire che la popolarità della tua pagina o del tuo sito web, dipende da quanti linkano alla tua pagina web e quanti link la tua pagina possiede. Gli altri fattori non sono da sottovalutare ma non sono gestibili dal SEO.
Chi cede alle promesse di venditori di PageRank è come chi si affida a maghi o altri ciarlatani che cercano di prevedere il futuro o di far guarire da gravi mali con medicine alternative.
Il SEO o web expert onesto può solamente mettere il sito nelle condizioni di poter ricevere le visite del webbot per far si che non ci siano ostacoli alla crescita del page rank complessivo. Esistono varie tecniche per far salire il pagerank che voglio approfondire nei prossimi articoli perchè comunque sono le conoscenze che sono alla base di alcuni miei workshop.
Continua a seguire il mio sito e accedi alle mie risorse come ti indico per email. Iscriviti alla sezione “gratis per te” per tenerci in contatto su queste tematiche.
Marco Palladino.
